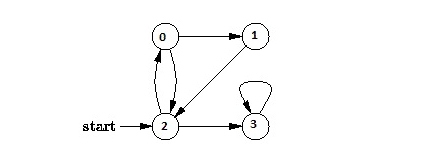
给定有向图 G = (V, E),需要判断该图中是否存在环路(Cycle)。例如,下面的图 G 中包含 4 个顶点和 6 条边。
实际上,上图中存在 3 个环路:0->2->0, 0->1->2->0, 3->3。
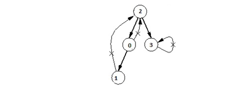
深度优先搜索(DFS:Depth-First Search)可以用于检测图中是否存在环。DFS 会对一个连通的图构造一颗树,如果在构造树的过程中出现反向边(Back Edge),则认为图中存在环路。
对于非连通图,可以对图中的不同部分分别进行 DFS 构造树结构,对于每棵树分别检测反向边的存在。
在 DFS 对图进行遍历时,将遍历过的顶点放入递归栈中,如果新遍历的顶点已经存在于递归栈中,则说明存在一个反向边,即存在一个环。
1 using System;
2 using System.Collections.Generic;
3 using System.Linq;
4
5 namespace GraphAlgorithmTesting
6 {
7 class Program
8 {
9 static void Main(string[] args)
10 {
11 Graph g = new Graph(6);
12 g.AddEdge(0, 1, 16);
13 g.AddEdge(0, 2, 13);
14 g.AddEdge(1, 2, 10);
15 g.AddEdge(1, 3, 12);
16 g.AddEdge(2, 1, 4);
17 g.AddEdge(2, 4, 14);
18 //g.AddEdge(3, 2, 9);
19 g.AddEdge(3, 5, 20);
20 //g.AddEdge(4, 3, 7);
21 //g.AddEdge(4, 5, 4);
22
23 Console.WriteLine();
24 Console.WriteLine("Graph Vertex Count : {0}", g.VertexCount);
25 Console.WriteLine("Graph Edge Count : {0}", g.EdgeCount);
26 Console.WriteLine();
27
28 Console.WriteLine("Is there cycle in graph: {0}", g.HasCycle());
29
30 Console.ReadKey();
31 }
32
33 class Edge
34 {
35 public Edge(int begin, int end, int weight)
36 {
37 this.Begin = begin;
38 this.End = end;
39 this.Weight = weight;
40 }
41
42 public int Begin { get; private set; }
43 public int End { get; private set; }
44 public int Weight { get; private set; }
45
46 public override string ToString()
47 {
48 return string.Format(
49 "Begin[{0}], End[{1}], Weight[{2}]",
50 Begin, End, Weight);
51 }
52 }
53
54 class Graph
55 {
56 private Dictionary<int, List<Edge>> _adjacentEdges
57 = new Dictionary<int, List<Edge>>();
58
59 public Graph(int vertexCount)
60 {
61 this.VertexCount = vertexCount;
62 }
63
64 public int VertexCount { get; private set; }
65
66 public IEnumerable<int> Vertices { get { return _adjacentEdges.Keys; } }
67
68 public IEnumerable<Edge> Edges
69 {
70 get { return _adjacentEdges.Values.SelectMany(e => e); }
71 }
72
73 public int EdgeCount { get { return this.Edges.Count(); } }
74
75 public void AddEdge(int begin, int end, int weight)
76 {
77 if (!_adjacentEdges.ContainsKey(begin))
78 {
79 var edges = new List<Edge>();
80 _adjacentEdges.Add(begin, edges);
81 }
82
83 _adjacentEdges[begin].Add(new Edge(begin, end, weight));
84 }
85
86 public bool HasCycle()
87 {
88 // mark all the vertices as not visited
89 // and not part of recursion stack
90 bool[] visited = new bool[VertexCount];
91 bool[] recursionStack = new bool[VertexCount];
92 for (int i = 0; i < VertexCount; i++)
93 {
94 visited[i] = false;
95 recursionStack[i] = false;
96 }
97
98 // call the recursive helper function to
99 // detect cycle in different DFS trees
100 for (int i = 0; i < VertexCount; i++)
101 if (CheckCyclic(i, visited, recursionStack))
102 return true;
103
104 return false;
105 }
106
107 private bool CheckCyclic(int v, bool[] visited, bool[] recursionStack)
108 {
109 if (!visited[v])
110 {
111 // mark the current node as visited
112 // and part of recursion stack
113 visited[v] = true;
114 recursionStack[v] = true;
115
116 // recur for all the vertices adjacent to this vertex
117 if (_adjacentEdges.ContainsKey(v))
118 {
119 foreach (var edge in _adjacentEdges[v])
120 {
121 if (!visited[edge.End]
122 && CheckCyclic(edge.End, visited, recursionStack))
123 return true;
124 else if (recursionStack[edge.End])
125 return true;
126 }
127 }
128 }
129
130 // remove the vertex from recursion stack
131 recursionStack[v] = false;
132
133 return false;
134 }
135 }
136 }
137 }
点击查看更多内容
为 TA 点赞
评论
共同学习,写下你的评论
评论加载中...
作者其他优质文章
正在加载中
感谢您的支持,我会继续努力的~
扫码打赏,你说多少就多少
赞赏金额会直接到老师账户
支付方式
打开微信扫一扫,即可进行扫码打赏哦

